Reactions of alcohols

Started by apurva, September 29, 2022, 02:31:23 PM

Previous topic - Next topic

0 Members and 1 Guest are viewing this topic.

apurva

Question:
[attachment id=0 msg=3349]

chenbeier

A) would give Primery alcohol.
B) would give acrolein
C) is correct
D) no reaction between sugar  and sodium chloride

uma

Quote from: chenbeier on September 30, 2022, 05:47:51 AM
A) would give Primery alcohol.
B) would give acrolein
C) is correct
D) no reaction between sugar  and sodium chloride
Explain your answers so that student can understand.
They all have answers but they need explanation.

chenbeier

What should I explain. Aldehyde will be reduced to primary alcohols under normal conditions.
RCHO +(2H) => RCH2-OH
A keton gives a secondary alcohol, RR'CO + (2H) => RCHOHR'
2H is the transferred Hydrogen from the reducer.

The reaction of vegetable oil with sulfuric would first crack the ester bonds of glycerol and the fatty acid. But glycerol goes further in decomposition to acrolein

The reaction of halogens in alkaline condition with ethylalcohol or better said c9mpounds containing the groups CH3CROH or CH3COR under go the halo form reaction.

https://encrypted-tbn0.gstatic.com/images?q=tbn:ANd9GcTVmUGl5y9KM1LkNJlkjA3y6ntmwm5w8h9clbdjSos&s=0

Sugar and salt don't react.

uma

Quote from: apurva on September 29, 2022, 02:31:23 PM
Question:
[attachment id=0 msg=3349]
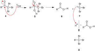
C is the option in which ethanol + NaOH + I2 reacts to form Iodoform which are yellow precipitates. This is oxidation reaction of methyl ketones.
Methyl ketones are aldehydes and ketones having at least one methyl group linked to the carbonyl carbon atom (methyl ketones).
When methyl ketones are treated with a halogen in the presence of base(sodium hypohalite ),the three hydrogen atoms on the methyl carbon are replaced to give a CX3-substituted ketone.
This product is not stable under the basic conditions and proceeds to react with hydroxide, ultimately furnishing the carboxylic acid (as its conjugate base) and a molecule of HCX3, which has the common name haloform (i.e., chloroform, bromoform, and iodoform, for X = Cl, Br, and I, respectively).
[attachment id=0 msg=3374]

uma

Quote from: mandal77 on November 22, 2022, 11:57:05 PM
Hey, you are talking about Explain your answers so that student can understand.
They all have answers but they need explanation. for this you have to search on google.

.............
Unnecessary post just for advise for google search.

SMF spam blocked by CleanTalk